Typing Math in Microsoft Word
Written by Jennifer Marsala. Last updated December 5, 2025
Description
This tutorial is designed to help students and teachers understand how to type mathematics in Microsoft Word by 1) selecting symbols and functions from the equation toolbar, 2) using the Ink Equation option to convert handwritten math to typewritten math, 3) typing keystrokes known as Math AutoCorrect codes for math symbols and functions, and/or 4) using LaTeX commands.
Creating accessible mathematics
The Math AutoCorrect codes in this tutorial can help all users to type mathematics quickly without searching for symbols in Microsoft Word's equation toolbar, but these keystrokes are particularly useful for those who are visually impaired, since the toolbar can be difficult to navigate with a screen reader.
The math content created with Microsoft Word's equation tool is accessible with the JAWS screen reader. Teachers can use the equation tool to create accessible mathematical documents, and students with visual impairments can use the equation tool to create mathematical output for their coursework. See the University of Houston's JAWS screen reader tutorial to learn how to use JAWS and to learn tips for creating accessible documents.
This webpage is accessible with the JAWS screen reader when using Google Chrome, Microsoft Edge, or Firefox as your browser.
Table of contents
Click on any link below to navigate to that portion of the document.
- Description
- 1. Opening Microsoft Word's built-in equation tool
- 2. Creating math content using the equation toolbar
- 3. Exiting the equation tool
- 4. Converting handwritten math to typewritten math
- 5. Math AutoCorrect codes for common math symbols and functions
- 6. Troubleshooting for Math AutoCorrect codes
- 7. Editing equations and switching between linear & professional modes
- 8. Discovering additional Math AutoCorrect codes
- 9. Adding Math AutoCorrect codes
- 10. Typing equations with LaTeX in Word
- 11. Text mode
- 12. Equation display size and other options
- 13. Setting a Word document to open in read-only mode
- 14. Math accessibility tips
- Contact / Feedback
1. Opening Microsoft Word's built-in equation tool
Microsoft Word's equation tool can be accessed by selecting Insert from the top ribbon, and then selecting Equation from the Symbols group at the far-right side of the ribbon. You can alternatively use the keyboard shortcut ALT + EQUALS to open the equation tool.

An equation box appears within the Word document as shown in the screenshot below:
![]()
The equation toolbar also appears at the top of the screen, as shown below.

Note: The equation toolbar disappears whenever you are working on content other than mathematics. If you want to edit an equation and can no longer see the equation toolbar, first place your cursor within the desired equation. If the equation toolbar does not show up, click the Equation menu at the very top of Word's ribbon. (In the above screenshot, the Equation menu is blue and is located to the right of the Acrobat menu.) The Equation menu is only visible when your cursor is placed within math content.
2. Creating math content using the equation toolbar
Exploring the equation toolbar
Note: Alternative Math AutoCorrect codes are described later in this document for sighted or visually impaired users who find it easier to type keystrokes than to choose math symbols from the equation toolbar.
After selecting Insert and Equation or the shortcut ALT + EQUALS, the equation toolbar appears at the top of the screen. You can use selections from this toolbar along with characters from your keyboard to type math content.

Use the Symbols scrollbar, shown in red above, to scroll through symbols in that category. Also explore the dropdown menus in the Structures group, indicated in green above, to view selections for fractions, scripts, radicals, etc.
Use the Symbols dropdown, shown in blue above, to view the full gallery of symbols for the current category and to select and view other symbol categories. The names of the eight symbol categories are shown in the screenshot below.

Three examples are given below to illustrate how the equation toolbar can be used to create math content.
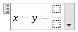
Equation Toolbar Example 1
Use the equation toolbar to create the following math content: $x-y=\displaystyle\frac{3}{5+z}$.
Follow the steps below:
1)Select Insert + Equation or ALT + EQUALS. An equation box appears within the document.
2)Type the following characters from your keyboard within the equation box: the letter x, then the dash symbol (for the minus sign), then the letter y, then the equals sign.
![]()
3)Choose Fraction from the Structures group of the toolbar and choose the fraction style that you prefer.

4)Two input boxes appear within the fraction — one for the numerator and one for the denominator, as shown in the screenshot below.
![]()
To type $\displaystyle\frac{3}{5+z}$ : Place your cursor in the numerator and type the number 3. Then place your cursor in the denominator (or use the down arrow to navigate from numerator to denominator) and then type 5+z. Note that you do not need parentheses around the 5+z, due to the input box that Word created for the denominator. The final output should appear as $x-y=\displaystyle\frac{3}{5+z}$ . (Refer to the next section to learn how to exit the equation tool.)
Note: Fractions can alternatively be typed with keystrokes; the Math AutoCorrect codes for common math symbols and functions are discussed later in this document.
Equation Toolbar Example 2
Use the equation toolbar to create the following math content: $7\pm 4\pi \cdot {\Omega}^{2}$.
Follow the steps below:
1)Select Insert + Equation or ALT + EQUALS. An equation box appears within the Word document.
2)Type the number 7 from your keyboard.
3)Look for the $\pm $ symbol in the Symbols group and select that symbol. If you cannot find it, click on the Symbols group dropdown and make sure you are viewing the Basic Math category. (If you need to change the symbol category, refer to the earlier section on exploring the equation toolbar.)

4)Type the number 4 from your keyboard.
5)To type $7\pm 4\pi \cdot {\Omega}^{2}$, we need to find $\pi $, which is located in the Basic Math symbols category. (It is also found in the Greek Letters category, shown later in this problem.) Click on the Symbols dropdown to view all symbols in the Basic Math category (recommended) or use the scrollbar to scroll up or down to find the symbol.

The entire Basic Math gallery is shown below. Find the $\pi $ symbol and select it.

6)To type $7\pm 4\pi \cdot {\Omega}^{2}$, we now need to find the multiplication symbol that looks like a centered dot. It does not appear within the Basic Math category of symbols. (There is an operator in the same row as $\pi $ that resembles a multiplication dot but is a small square rather than a small circle.)
The dot multiplication symbol can be found in the Operators category of symbols. Switch symbol categories from the Basic Math category to the Operators category as shown in the screenshot below.

A long gallery of Operators symbols should appear. Choose the dot multiplication symbol from the first row of symbols, as shown in blue below. (Note that the JAWS screen reader will read this symbol as “dot operator.”)

7)To produce the output $7\pm 4\pi \cdot {\Omega}^{2}$, we now need to type ${\Omega}^{2}$.
First click the Script dropdown from the Structures group, and then choose the Superscript option.

Your equation should look like the one below, with one input box for the base and another for the exponent:

Next, we need to find $\Omega$, which is the capital Greek letter Omega. It can be found in the Greek Letters category of the Symbols group. Switch symbol categories to Greek Letters as shown in the screenshots below.


Find $\Omega$ in the Greek Letters gallery. (Side note: $\pi $ also appears in this group.) Place your cursor in the input box for the base, which was created by the Superscript structure, and then select the $\Omega$ symbol as shown below.

Lastly, place your cursor in the input box for the exponent and type the number 2.
Your final output should be $7\pm4\pi \cdot {\Omega}^{2}$. (Refer to the next section to learn how to exit the equation tool.)
Note: The symbols for $\pi $, the multiplication dot, the superscript, and $\Omega$ can alternatively be typed with Math AutoCorrect codes, discussed later in this document.
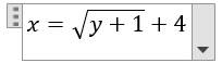
Equation Toolbar Example 3
Use the equation toolbar to create the following math content: $x=\sqrt{y+1}+4$.
Follow the steps below.
1)Select Insert + Equation or ALT + EQUALS. An equation box appears within the Word document.
2)Type the x key and the equals key from your keyboard.
3)Select the square root symbol from the equation toolbar, using one of the following two methods:
Option 1: Choose the square root symbol from the Basic Math category of the Symbols group. (If you need to change the symbol category, refer to the earlier section on exploring the equation toolbar.)

Option 2: You can instead choose the square root symbol from the Radical dropdown of the Structures group.

The square root output looks different with each method as shown in the screenshot below:

These two square root options require slightly different steps for additional input, as described below.
4)If you selected the square root symbol from the Symbols group (Option
1):
Type (y+1) from your keyboard; the parentheses are needed since there is more
than one term under the square root. Then press the spacebar to complete the
square root; notice that the parentheses disappear but the entire expression y+1
is placed under the square root. Finally, type +4 from your keyboard.
If you used the square root symbol from the Radical
dropdown (Option 2):
There is an empty input box within the square root. Place your cursor inside
that box, type y+1 from your keyboard (parentheses are not needed), press the
right arrow to exit the square root, and type +4.
In both instances, the output is as follows. (Refer to the next section to learn how to exit the equation tool.)
![]()
Note: The square root symbol can instead be typed with Math AutoCorrect codes, discussed later in this document.
3. Exiting the equation tool
If you are typing math content on a line by itself (or at the very end of a line) and are finished typing content for that line, simply press enter to go to the next line and exit equation mode in Word. You can then type regular text on the new line or can begin another equation using ALT + EQUALS or Insert + Equation again.
If you are typing inline math content (math content which is contained in the same line as regular text) and wish to resume typing regular text on that same line after the math content, press the right arrow to exit the math content equation box. Then press the spacebar key to create a space between the math content and your next word and type the rest of your sentence as usual. (Omit the spacebar key if you are typing punctuation immediately after the math content.)
4. Converting handwritten math to typewritten math
Microsoft Word's equation tool can recognize handwritten mathematics and convert it to typewritten mathematics. If you can write on your screen with a stylus or with your finger, or if you are adept enough to write using your mouse, press Insert + Equation or ALT + EQUALS, then select Ink Equation from the Tools group.

Hand-write the desired math in the yellow box and look at the preview box. You can change your input with the Write, Erase, Select and Correct, and Clear tools. (You can even erase or select/correct one character at a time!) When you are done writing, select Insert and the equation will appear in the main document. You can also edit after insertion within the standard equation box. Three examples of handwritten equations and previewed typewritten output are shown below.

5. Math AutoCorrect codes for common math symbols and functions
Jump to alphabetical list of codes
In the alphabetical list below, you can find Math AutoCorrect codes for many common math symbols and functions in Microsoft Word. AutoCorrect codes are successive keystrokes, recognized by Microsoft Word, which produce another character or set of characters. Math AutoCorrect codes can be used by those who are sighted or visually impaired as an alternative to navigating the equation toolbar. Math AutoCorrect codes can be typed within Word's equation tool, which can be accessed by pressing ALT + EQUALS. Make sure that you also read the instructions above on exiting the equation tool to resume typing regular text.
The Conversions group of the equation toolbar should be set to Unicode for the full list of Math AutoCorrect codes to work; Unicode should be the default unless you have changed it.

The list below is not exhaustive. To find additional Math AutoCorrect codes — and to find out about a similar list which is organized by subject — see the section on discovering additional Math Autocorrect codes. If the keystrokes in the list are not working for you, see the section on troubleshooting for Math AutoCorrect codes.
Note for JAWS screen reader users: When reading through the Math AutoCorrect codes and instructions to produce sample equations, you may want to use the left and right arrows to step through each code one character at a time to make sure that each character is properly understood. Also note that a capital letter is only used at the beginning of Math AutoCorrect codes involving capital Greek letters; all other letters in Math AutoCorrect codes are lowercase.
Alphabetical list of math symbols and functions along with their Math AutoCorrect codes
A
Absolute value: See Vertical bars.
Addition/plus: use keyboard plus sign, +.
Angle: \angle followed by spacebar, produces the output $\angle .$
alpha (lowercase): \alpha (all lowercase) followed by spacebar. Produces the output $\alpha .$
AND: Type \wedge followed by spacebar to produce the logical AND operator, $\wedge$.
Approximately equal: \approx followed by spacebar. Produces the output $\approx$.
Note: The negation “not approximately equal” can be obtained by first typing a forward slash; the Math AutoCorrect code /\approx produces the output $\not\approx$.
Arc: Type \overparen, followed by the content you desire to place under the arc symbol (use parentheses as needed), followed by spacebar. To type $\overparen{AB}$, type \overparen(AB) followed by spacebar.
Average: See Bar.
B
Bar: To type x-bar, denoted by $\overline{x}$, type x followed by \bar followed by two spaces.
beta (lowercase): \beta (all lowercase) followed by spacebar. Produces the output $\beta .$
Biconditional: \leftrightarrow followed by spacebar. Produces the output $\leftrightarrow$.
C
Cents: No Math AutoCorrect code currently exists for the cents symbol, ¢, but it can be created by typing a2 and then pressing ALT + x. (See the section on adding Math AutoCorrect codes to create a code that will be easier to remember.)
chi (lowercase): \chi (all lowercase) followed by spacebar. Produces the output $\chi $.
Change: See Delta.
Circle: No Math AutoCorrect code currently exists for the circle symbol, ◯, but it can be created by typing 25ef and then pressing ALT + x. (See the section on adding Math AutoCorrect codes to create a code that will be easier to remember.)
Circle with dot: \odot followed by spacebar, produces the output $\odot$.
Complex numbers: See “Set of complex numbers.”
Composition of functions/composed with: type \circ followed by spacebar, produces the output $\circ .$ (Note that the JAWS screen reader reads this symbol as “ring operator.”)
Congruence/congruent to: \cong followed by spacebar,
produces the output $\cong .$ (The JAWS screen reader reads this
symbol as “approximately equal to.”)
Note: The negation “not congruent to” can be obtained by first typing a forward slash; the Math AutoCorrect code /\cong produces the output $\ncong$.
Contains as member: \ni followed by spacebar, produces the output $\ni$.
Cosecant: csc followed by spacebar, followed by the content you want to type within the function (remember parentheses as needed), followed by the right arrow to exit the cosecant function to type more math content.
Cosine: cos followed by spacebar, followed by the content you want to type within the function (remember parentheses as needed), followed by the right arrow to exit the cosine function to type more math content.
Cotangent: cot followed by spacebar, followed by the content you want to type within the function (remember parentheses as needed), followed by the right arrow to exit the cotangent function to type more math content.
Cube root: \cbrt followed by spacebar, followed by the content that you want included inside the cube root, followed by spacebar.
•To obtain $\sqrt[3]{x}$, type \cbrt followed by spacebar, followed by x, followed by spacebar.
•To obtain $\sqrt[3]{x+5}$, where you want the x+5 inside the cube root, you must use parentheses: Type \cbrt followed by spacebar, followed by (x+5), followed by spacebar.
•To obtain $\sqrt[3]{x+5}+7$, where you want the x+5 inside the cube root and the +7 outside the cube root: Type \cbrt followed by spacebar, followed by (x+5), followed by spacebar, followed by +7.
D
Degree/degrees: \degree followed by spacebar.
Note that no superscript-related keystroke is necessary. To produce the output $30°$, type 30\degree then spacebar.
Degrees Celsius: \degc followed by spacebar. Produces the output ℃.
Degrees Fahrenheit: \degf followed by spacebar. Produces the output ℉.
delta (lowercase): \delta (all lowercase) followed by spacebar. Produces the output $\delta $.
Delta (uppercase): \Delta (with an uppercase D) followed by spacebar. Produces the output $\Delta$.
Determinant: See Vertical bars.
Division/divided by: To create a division symbol that looks like a horizontal line with a dot above and below, type \div followed by spacebar. Produces the output $\div $. (See Fractions to create a fraction.)
Double integral: Type \iint to produce the double integral symbol, $\iint$. See Integrals for additional instructions on typing indefinite and definite integrals.
Double prime: \pprime followed by spacebar. To type $f''(x)$: Type f, then \pprime, then spacebar, then (x).
Accessibility note:
Typing f''(x) with two apostrophe symbols produces proper visual output, but JAWS treats the apostrophes as punctuation and does not read them.
E
Element of: \in followed by spacebar, produces the
output $\in $.
Note: The negation “not an element of” can be obtained by first typing a forward slash; the Math AutoCorrect code /\in produces the output $\notin$.
Empty set: \emptyset followed by spacebar, produces the output $\varnothing $.
epsilon (lowercase): \varepsilon followed by spacebar, or \epsilon followed by spacebar; all letters are lowercase. These Math AutoCorrect codes produce the output $\varepsilon$ and $\epsilon $, respectively.
Equals: Use the keyboard equals sign, =.
eta (lowercase): \eta (all lowercase) followed by spacebar. Produces the output $\eta $.
Exclusive OR (XOR): \oplus followed by spacebar. Produces the output $\oplus$.
Exponent: Use the caret key, SHIFT + 6, followed by the desired exponent followed by spacebar. Remember to include parentheses around the exponent if needed.
•$y^2$ can be obtained by typing y^2 followed by spacebar.
•$3x^2+1$ can be obtained by typing 3x^2, then spacebar, then +1. (Also see note below.)
•$2^{x+1}$ can be obtained by typing 2^(x+1) followed by spacebar.
Note: You can omit the spacebar after the exponent when you type other operators such as the plus sign immediately after the exponent. So $3x^2+1$ can alternatively be produced by typing 3x^2+1 (with no spaces). However, the spacebar after the exponent can NOT be omitted when the exponent appears at the end of the expression. For the output $y^2$ or $2^{x+1}$, the spacebar at the end is needed (or the output contains the caret symbol).
F
Factorial: use keyboard exclamation point, !.
For all: \forall followed by spacebar, produces the output $\forall$.
Fourth root: \qdrt followed by spacebar, followed by the content that you want included inside the fourth root, followed by spacebar.
•To obtain $\sqrt[4]{x}$, type \qdrt followed by spacebar, followed by x, followed by spacebar.
•To obtain $\sqrt[4]{x+5}$, where you want the x+5 inside the fourth root, you must use parentheses: Type \qdrt followed by spacebar, followed by (x+5), followed by spacebar.
•To obtain $\sqrt[4]{x+5}+7$, where you want the x+5 inside the fourth root and the +7 outside the fourth root: Type \qdrt followed by spacebar, followed by (x+5), followed by spacebar, followed by +7.
Fractions: To create a vertically stacked fraction, type the numerator (using parentheses as needed), followed by the forward slash key, followed by the denominator (using parentheses as needed), followed by the spacebar.
•To obtain $\frac{3}{7}$: Type 3, then /, then 7, then spacebar. The fraction will appear larger if typed on its own line, as shown below.
•To obtain $\frac{x+1}{x+3}$, you must type parentheses around the numerator and denominator, i.e., (x + 1), then /, then (x+3), then spacebar.
•To obtain $\frac{3}{5y}$: Type 3, then /, then 5y, then spacebar. (You can type parentheses around the denominator, 5y, which results in the same output.)
•To obtain $\frac{3}{5}y$: Type 3, then /, then 5, then spacebar, then y.
•To create a fraction with empty placeholders for a numerator and denominator (as shown below), type the forward slash and the spacebar. Then go back and fill in the numerator and denominator.
![]()
To create a skewed fraction (where the fraction bar is slanted, the numerator is slightly raised, and the denominator is slightly lowered) use \sdiv instead of the forward slash and then press spacebar. Type 5, then \sdiv, then spacebar, then 7 to produce output similar to that which is shown below.
![]()
To create a linear fraction (where the fraction bar is slanted, and both the numerator and denominator are viewed at the same vertical level) use \ldiv instead of the forward slash and then press spacebar. Type 5, then \ldiv, then spacebar, then 7 to produce the output $5/7$.
G
gamma (lowercase): \gamma (all lowercase) followed by spacebar. Produces the output $\gamma $.
Gamma (uppercase): \Gamma (with an uppercase G) followed by spacebar. Produces the output $\Gamma $.
Gradient: \nabla followed by spacebar. Produces the output $\nabla$.
Greater than: Use the > key on the
keyboard.
Note: The negation, “not greater than” can be obtained by first typing a forward slash; the Math AutoCorrect code /> produces the output $\not>$.
Greater than or equal to: \ge or \geq followed
by the spacebar. Alternatively, simply press the > key followed by the =
key.
Note: The negation “neither greater than nor equal to” can be obtained by first typing a forward slash; the Math AutoCorrect codes /\ge and /\geq followed by spacebar produce the output $\not\geq$.
Greek letters: A number of Greek letters common to math and science fields are listed in this tutorial. The general method for typing Greek letters is described below.
•To create a lowercase Greek letter:
1) type the backslash key, 2) type out the name of the Greek letter, beginning
with a lowercase letter and with all other letters also in lowercase, and 3)
press spacebar.
Example: To type the lowercase Greek letter omega:
Type \omega (all lowercase), then spacebar, which produces the output $\omega $.
•
To create an uppercase Greek letter:
1) type the backslash key, 2) type out the name of the Greek letter, beginning
with an uppercase letter and with all other letters in lowercase, and 3) press
spacebar.
Example: To type the uppercase Greek letter Omega:
Type \Omega (beginning with an uppercase O), then spacebar, which produces the output $\Omega $.
H
Hat: To type $p$-hat, denoted by $\hat{p}$, type $p$ followed by \hat followed by two spaces.
Hyperbolic trigonometric functions: Hyperbolic sine, hyperbolic cosine, and hyperbolic tangent can be written as sinh, cosh, and tanh; notice the h at the end of each code. Hyperbolic secant, hyperbolic cosecant and hyperbolic cotangent are written as sech, csch, and coth; notice the h at the end of each code. Each of these six Math AutoCorrect codes should be followed by the spacebar, followed by the content within the function (remember parentheses as needed), followed by the right arrow to exit the hyperbolic function in order to type more math content.
I
Infinity: \infty followed by spacebar, produces the
output $\infty $.
Note: To type negative infinity, type a dash (minus sign) before the infinity Math AutoCorrect code but
while still within the equation tool, i.e., -\infty followed by spacebar produces
the output $-\infty $.
Integers: See “Set of integers.”
Integrals:
For indefinite integrals (integrals without lower and upper limits), type
\int followed by spacebar, followed by the content that you want included
inside the integral. To produce the output $\int \left(x^2+1 \right)dx$, type \int followed by spacebar followed by (x^2+1)dx.
For definite integrals (integrals with lower and upper limits), type \int followed by an underscore symbol (SHIFT + MINUS) followed by the lower limit, followed by the caret key (SHIFT + 6) along with the upper limit, followed by spacebar, followed by the content you want included inside the integral. To produce the output $\int_{3}^{7}\left(x^2+1 \right)dx$, type \int_3^7, then spacebar, then (x^2+1)dx. If you type the math content on its own separate line, the integral symbol will be larger as shown below:
$\displaystyle\int_{3}^{7}\left(x^2+1 \right)dx$
Also see Double integral, Triple integral.
Intersection: \cap followed by spacebar, produces the output $\cap $.
Inverse trigonometric functions:
To obtain the inverse sine, inverse cosine, or inverse tangent functions,
type arcsin, arccos, or arctan — followed by spacebar, followed by the content
within the function (remember parentheses as needed). Press the right arrow to exit
each of these functions to type more math content.
To obtain the inverse cosecant, inverse secant, or inverse cotangent functions, type arccsc, arcsec, or arccot — followed by spacebar, followed by the content within the function (remember parentheses as needed). Press the right arrow to exit each of these functions to type more math content.
iota (lowercase): \iota (all lowercase) followed by spacebar. Produces the output $\iota $.
K
kappa (lowercase): \kappa (all lowercase) followed by spacebar. Produces the output $\kappa $.
L
lambda (lowercase): \lambda (all lowercase) followed by spacebar. Produces the output $\lambda .$
Lambda (uppercase): \Lambda (with an uppercase L) followed by spacebar. Produces the output $\Lambda$.
Less than: Use the < key on the keyboard.
Note: The negation “not less than” can be obtained by first typing a forward slash; the Math AutoCorrect code /< produces the output $\nless$.
Less than or equal to: \le or \leq followed by
the spacebar. Or simply press the < key followed by the = key.
Note: The negation “neither less than nor equal to” can be obtained by first typing a forward slash; the Math AutoCorrect codes /\le and /\leq followed by spacebar produce the output $\not\leq$.
Limit: You can type the word lim with an appropriate subscript as shown with the example below.
To obtain $\displaystyle\lim_{n \to \infty}\left(n^2+1 \right)$, type lim_(n \rightarrow \infty ) followed by spacebar, followed by (n^2 +1). Pay attention to each character, including spaces, to produce the desired result.
Line: To produce $\overleftrightarrow{CD}$, type (CD), then \tvec, then press spacebar twice.
Logarithms:
•To type the common logarithm (base 10), type log followed by spacebar, followed by the content you want to type within the function (use parentheses as needed), followed by the right arrow to exit the logarithm function to type more math content.
•To type the natural logarithm, type ln followed by spacebar, followed by the content you want to type within the function (use parentheses as needed), followed by the right arrow to exit the natural logarithm function to type more math content.
•To type logarithms with other bases, type log followed by the underscore key, followed by the value representing the base, followed by spacebar, followed by the content you want to type within the function (use parentheses as needed), followed by the right arrow to exit the natural logarithm function to type more math content. For example, ${\log }_{3}\left(x+1 \right)+4$ can be obtained by typing log_3, then spacebar, then (x+1), then the right arrow, then +4.
M
Matrix/matrices:
Note to JAWS screen reader users: There are three matrices in the examples below which contain numerical content. JAWS may read them as tables without announcing the content. If this occurs, press ENTER when focused on a matrix. This opens the Math Viewer. Since the matrices on this page begin with a left bracket, arrow right within the Math Viewer until you encounter the matrix, which JAWS announces as a table, and press ENTER again to begin table navigation. You can then use the arrow keys to explore the matrix. After exploring the matrix, press the escape key to exit table navigation, and then press the escape key again to exit the Math Viewer and return to the tutorial. (More details about the using the Math Viewer to investigate math content are found later in this tutorial.)
•To create a 3x3 identity matrix $\left[ ~\begin{matrix} 1 & 0 & 0 \\ 0 & 1 & 0 \\ 0 & 0 & 1 \\ \end{matrix} ~\right]$:
Type [ \matrix 3 ] followed by spacebar. Notice the spacing: One space is typed after the left bracket to create padding on the left side of the matrix. Two spaces are typed between the number 3 and the right bracket; the first space completes the matrix, and the second space creates padding on the right side of the matrix.
If you want a 3x3 identity matrix with no brackets, type \matrix 3 followed by spacebar. If you want curved parentheses to surround the matrix, type ( \matrix 3 ) followed by spacebar. If you want a 2x2 identity matrix with square brackets around it, type [ \matrix 2 ] followed by spacebar, etc.
•To create the 3x2 matrix $\left[~\begin{matrix} 1 & 2 \\ 3 & 4 \\ 5 & 6 \\ \end{matrix} ~\right]$:
Type [ \matrix (1&2@3&4@5&6) ] followed by spacebar. Each & symbol separates row elements, and each @ symbol starts a new row. Notice the space typed between the left bracket and the \matrix code to create padding on the left side of the matrix. Also notice that two spaces are typed before the right bracket; the first space completes the matrix and the second space creates padding on the right side of the matrix.
•To create the 2x3 matrix $\left[ ~\begin{matrix} 1 & 2 & 3 \\ 4 & 5 & 6 \\ \end{matrix} ~\right]$:
Type [ \matrix (1&2&3@4&5&6) ] followed by spacebar. Notice the single space after the left bracket and the two spaces before the right bracket.
•To create an empty 3 x 4 matrix, type [ \matrix (@@&&&) ] followed by spacebar. Notice the single space after the left bracket and the two spaces before the right bracket. A screenshot of the output is below.

Why do the keystrokes [ \matrix (@@&&&) ] create an empty 3x4 matrix? The \matrix code begins by producing a 1x1 matrix. By typing @@ you are creating 2 additional rows, and by typing &&& you are creating 3 additional columns. After the empty matrix is created, you can go back to the matrix and fill in each matrix cell as desired.
•For those who wish to use the equation toolbar rather than creating matrices with Math AutoCorrect codes: There is a Matrix option in the Structures category. Choose the matrix that is closest to the needed size. Then right click on the matrix and look for options to insert or delete rows or columns if needed.
•Instead of the square brackets shown above, you can surround matrices with no brackets, with parentheses, with curly braces, with single vertical bars, or with double vertical bars.
Mean: See Bar.
Minus/subtraction: use the keyboard dash/minus sign, -.
mu (lowercase): \mu (all lowercase) followed by spacebar. Produces the output $\mu $.
Multiplication:
•To create a multiplication symbol that resembles an x (and is read by the JAWS screen reader as “times,” type \times followed by spacebar. Produces the output $\times $.
•To create a multiplication symbol that looks like a dot, type \cdot followed by spacebar (JAWS screen reader reads this as “dot operator” or occasionally as “dot” instead of “times.”) Produces the output $\cdot $ .
N
Nabla: See Gradient.
Natural numbers: See “Set of natural numbers.”
Negation: The logical negation symbol (logical NOT) can be represented in three different ways, as follows.
•\neg followed by spacebar, produces the output $\neg $.
•\sim followed by spacebar, produces the output $\sim $.
•To represent the negation of $p$ by placing a bar over the letter: type \overbar(p) followed by spacebar to produce the output $\overline{p}$.
Negations of mathematical relations: Many mathematical relations can be negated by placing a forward slash, /, in front of the relation's Math AutoCorrect code. For example: The subset symbol, $\subset$, can be produced by typing \subset followed by spacebar — and the “not a subset” symbol, $\not\subset$, can be produced by typing /\subset followed by spacebar. Some such negations are included in this tutorial along with the descriptions of the original relations.
NOT: See Negation for the logical NOT symbol.
Not equal to: \ne or \neq followed by spacebar, produces the output $\ne $.
nu (lowercase): \nu (all lowercase) followed by spacebar. Produces the output $\nu $.
O
omega (lowercase): \omega (all lowercase) followed by spacebar. Produces the output $\omega $.
Omega (uppercase): \Omega (with an uppercase O) followed by spacebar. Produces the output $\Omega$.
OR: Type \vee followed by spacebar to produce the logical OR operator, $\vee$.
P
Parallel: \parallel followed by spacebar,
produces the output $\parallel $.
Note: No Math AutoCorrect code exists for the “not parallel” symbol, but it can be produced by typing 2226 and then pressing ALT + x. (See the section on adding Math AutoCorrect codes to create a code that will be easier to remember.)
Parallelogram: \underline followed by spacebar, produces the output ▱.
Partial derivative: \partial followed by spacebar, produces the output $\partial$.
Perpendicular: \perp followed by spacebar, produces the output $\bot $. (Note that the JAWS screen reader reads this symbol as “uptack” instead of “perpendicular.”)
phi (lowercase): \varphi or \phi (all lowercase) each of which is followed by spacebar. Produces the output $\varphi $ and $\phi $, respectively.
Phi (uppercase): \Phi (with an uppercase P) followed by spacebar. Produces the output $\Phi$.
pi (lowercase): \pi (all lowercase) followed by spacebar. Produces the output $\pi $.
Pi (uppercase): \Pi (with an uppercase P) followed by spacebar. Produces the output $\Pi$.
Plus/addition: use keyboard plus sign, +.
Plus or minus: Simply press +- (the plus symbol followed by a dash), or alternatively type \pm followed by spacebar. Produces the output $\pm $.
Power: See Exponent
Prime: Press the apostrophe (single quote) key followed by spacebar, or type \prime followed by spacebar.** (See accessibility notes below.) The output for “f prime of x” is ${f}'\left( x \right)$.
**Accessibility notes for the prime symbol — for JAWS screen
reader users or for those creating accessible math content:
The apostrophe must be followed by spacebar to be read by JAWS as a prime
symbol, even though the visual output looks OK without pressing spacebar. If
you instead use the \prime code to produce a prime symbol, it must be
followed by TWO spaces to be read by JAWS. This behavior occurs at all levels
of JAWS punctuation settings. (Apostrophes are typically not read aloud — as in
the words can't or won't — but apostrophes within math content need to be
read.) If you find a change in this behavior, please send a note via the feedback section.
To type ${f}'\left( x \right)$ in a way that can be read by the JAWS screen reader, do either of the following:
•Type f, then apostrophe, then spacebar, then (x).
•Type f, then \prime, then press spacebar twice, then type (x).
Also see Double prime, Triple prime, Quadruple prime.
Product: \prod followed by spacebar. Produces the output $\prod$.
Proportional to: \propto followed by spacebar. Produces the output $\propto$.
psi (lowercase): \psi (all lowercase) followed by spacebar. Produces the output $\psi $.
Psi (uppercase): \Psi (with an uppercase P) followed by spacebar. Produces the output $\Psi $.
Q
Quadratic formula: \quadratic, followed by two spaces, produces the entire quadratic formula, as shown below:
Quadruple prime: \pppprime followed by spacebar. To type $f''''(x)$: Type f, then \pppprime, then spacebar, then (x).
Accessibility note:
Typing f''''(x) with four apostrophe symbols produces proper visual output, but JAWS treats the apostrophes as punctuation and does not read them.
R
Rational numbers: See “Set of rational numbers.”
Ray: The vector code can be used to produce
a ray symbol, as follows:
To obtain $\overrightarrow{CD}$, type (CD), then \vec, then press spacebar
twice.
Real numbers: See “Set of real numbers.”
Repeating decimal: To type $4.\overline{37}$, type 4.\overbar(37) followed by spacebar.
Rectangle: \rect followed by spacebar, produces the output ▭.
rho (lowercase): \rho (all lowercase) followed by spacebar. Produces the output $\rho $.
Right angle: No Math AutoCorrect code exists for the right angle symbol, ∟. It can, however, be produced by typing 221f and then pressing ALT + x. (See the section on adding Math AutoCorrect codes to create a code that will be easier to remember.)
Right arrow: \rightarrow followed by spacebar, or \to followed by spacebar, or simply type -> (a dash followed by the greater than symbol). All three options produce the output $\to $.
Roots: See Square roots, Cube roots, Fourth roots for
details on using the Math AutoCorrect codes \sqrt, \cbrt, and \qdrt.
Any root can be typed using the \sqrt code in conjunction with the ampersand
symbol as follows.
•$\sqrt[5]{32}$ can be obtained by typing \sqrt(5&32), then spacebar.
•$\sqrt[6]{y+1}$ can be obtained by typing \sqrt(6&y+1), then spacebar.
•$\sqrt[7]{z^2}+8$ can be obtained by typing \sqrt (7&z^2), then +8.
S
Secant: sec followed by spacebar, followed by the content you want to type within the function (remember parentheses as needed), followed by the right arrow to exit the secant function to type more math content.
Segment: The output $\overline{CD}$ can be produced by typing \overbar(CD) followed by spacebar, or \overline(CD) followed by spacebar. (Note: The JAWS screen reader may not read the segment symbol properly; you can alternatively type segment CD.)
Set of complex numbers: \doubleC, where the C is a capital letter. Produces the output $\mathbb{C}$. (JAWS screen reader reads this as C even though the resulting character resembles a double C.)
Set of integers: \doubleZ, where the Z is a capital letter. Produces the output $\mathbb{Z}$. (JAWS screen reader reads this as Z even though the resulting character resembles a double Z.)
Set of natural numbers: \doubleN, where the N is a capital letter. Produces the output $\mathbb{N}$. (JAWS screen reader reads this as N even though the resulting character resembles a double N.)
Set of rational numbers: \doubleQ, where the Q is a capital letter. Produces the output $\mathbb{Q}$. (JAWS screen reader reads this as Q even though the resulting character resembles a double Q.)
Set of real numbers: \doubleR, where the R is a capital letter. Produces the output $\mathbb{R}$. (JAWS screen reader reads this as R even though the resulting character resembles a double R.)
sigma (lowercase): \sigma (all lowercase) followed by spacebar. Produces the output $\sigma $.
Sigma (uppercase): \Sigma (with an uppercase S) followed by spacebar. Produces the output $\Sigma$. For sums, see Summation.
Similarity/similar to: \sim followed by spacebar,
produces the output $\sim $. (JAWS reads the similarity symbol as “tilde
operator.”)
Note: The negation “not similar to” can be obtained by first typing a forward slash; the Math AutoCorrect code /\sim produces the output $\nsim$.
Sine: sin followed by spacebar, followed by the content you want to type within the function (remember parentheses as needed), followed by the right arrow to exit the sine function to type more math content.
Square root: type \sqrt followed by spacebar, followed by the content that you want included inside the square root, followed by spacebar.
•To obtain $\sqrt{x}$ , type \sqrt followed by spacebar, followed by x, followed by spacebar.
•To obtain $\sqrt{x+5}$ , where you want the x+5 inside the square root, you must use parentheses. Type \sqrt followed by spacebar, followed by (x+5), followed by spacebar.
•To obtain $\sqrt{x+5}+7$, where you want the x+5 inside the square root and the +7 outside the square root: type \sqrt followed by spacebar, followed by (x+5), followed by spacebar, followed by +7.
Subscript: Use the underscore key, SHIFT + MINUS, followed by the subscript (use parentheses as needed), followed by spacebar.
•To obtain $x_1+y_1$, type x_1 followed by spacebar, followed by the + sign, followed by y_1, followed by spacebar.
•To obtain $3_{n+1}-5$, type 3_(n+1) followed by spacebar, followed by the dash symbol, followed by 5.
Subset: \subset followed by spacebar, produces the output $\subset$.
Note: The negation, “not a subset”, can be obtained by first typing a forward slash; the Math AutoCorrect code /\subset produces the output $\not\subset$.
Subset or equal to: \subseteq followed by spacebar, produces the output $\subseteq$.
Note: The negation, “neither a subset nor equal to”, can be obtained by first typing a forward slash; the Math AutoCorrect code /\subseteq produces the output $\not\subseteq$.
Subtraction/minus: use the keyboard dash/minus sign, -.
Summation/sum: The summation symbol is obtained by typing \sum followed by spacebar, followed by the lower and upper limits (instructions are below), followed by spacebar, followed by the desired content. (The summation symbol is read by the JAWS screen reader as “n-ary summation.”)
To type $\sum_{n=1}^{5}\left( {n^2}+1 \right)$ , type \sum followed by spacebar, followed by _(n=1)^5, followed by spacebar, followed by (n^2 +1). If you type the math content on a line by itself, the summation symbol will appear larger with limits of summation above and below (instead of off to the side), as shown below:
$\displaystyle\sum_{n=1}^{5}\left(n^2+1 \right)$
Superscript: See Exponent
Superset: \superset followed by spacebar, produces the output $\supset$.
Note: The negation, “not a superset”, can be obtained by first typing a forward slash; the Math AutoCorrect code /\superset produces the output $\not\supset$.
Superset or equal to: \superseteq followed by spacebar, produces the output $\supseteq$.
Note: The negation, “neither a superset of nor equal to”, can be obtained by first typing a forward slash; the Math AutoCorrect code /\superseteq produces the output $\not\supseteq$.
T
Tangent: tan followed by spacebar, followed by the content you want to type within the function (remember parentheses as needed), followed by the right arrow to exit the tangent function to type more math content.
tau (lowercase): \tau (all lowercase) followed by spacebar. Produces the output $\tau $.
There exists: \exists followed by spacebar, produces the output $\exists$.
Therefore: \therefore followed by spacebar, produces the output $\therefore $ .
theta (lowercase): \theta (all lowercase) followed by spacebar. Produces the output $\theta $.
Theta (uppercase): \Theta (with an uppercase T) followed by spacebar. Produces the output $\Theta$.
Times: See Multiplication.
To: \rightarrow followed by spacebar, produces the output $\rightarrow$.
Triangle: Although the triangle symbol, $\vartriangle$ (read by the JAWS screen reader as “white up-pointing triangle”), can be selected from the Operators category of equation toolbar symbols, a corresponding Math AutoCorrect code does not exist. You can alternatively type the characters 25b3 and then press ALT + x to produce the triangle symbol, $\vartriangle$. (See the section on adding Math AutoCorrect codes to create a code that will be easier to remember.)
Note: If you are using the equation tool's LaTeX mode, described later in this document, you can use the \triangle LaTeX command to produce the $\vartriangle $ symbol.
Triple integral: Type \iiint to produce the triple integral symbol, $\iiint$. See Integrals for additional instructions on typing indefinite and definite integrals.
Triple prime: \ppprime followed by spacebar. To type $f'''(x)$: Type f, then \ppprime, then spacebar, then (x).
Accessibility note:
Typing f'''(x) with three apostrophe symbols produces proper visual output, but JAWS treats the apostrophes as punctuation and does not read them.
U
Union: \cup followed by spacebar, produces the output $\cup $.
V
Vectors:
•To obtain the output $\overrightarrow{CD}$, type (CD), then \vec, then press spacebar twice.
•To obtain the output $\vec{x}$, type x, then \vec, then press spacebar twice.
Vertical bars: \vert followed by spacebar for each vertical bar, or simply type the pipe symbol (vertical bar) from your keyboard.
•To write the absolute value expression $\displaystyle\left|\frac{c}{d}\right|$, type the pipe symbol, the fraction c/d, spacebar, another pipe symbol, and a final space to cause the vertical bars to enlarge to the size of the expression.
•To write the determinant of A, $|A|$, type the pipe symbol, the letter A, and then another pipe symbol.
X
XOR: See Exclusive OR.
Z
zeta (lowercase): \zeta (all lowercase) followed by spacebar. Produces the output $\zeta $.
6. Troubleshooting for Math AutoCorrect codes
If the Math AutoCorrect codes from the above list are not producing the desired content, try each of the steps below (one at a time) to see if the problem is resolved.
1)Go to the File menu, select Options (you may need to select File, then More, then Options), then select Proofing, then navigate to the button that says AutoCorrect Options. Choose the tab that says Math AutoCorrect. Make sure that the checkbox Replace text as you type is checked. (This checkbox should be checked by default and would likely only be disabled if you chose to disable it.)
2)Open the equation tool by pressing ALT+EQUALS. Then navigate to the Conversions group of the equation toolbar and make sure that the Unicode option is chosen, rather than LaTeX or Text.

7. Editing equations and switching between linear & professional modes
After you have created an equation in its nicely displayed format, known as professional format, you may find that you need to go back and edit it. You can choose to edit the equation within professional format, or you can switch from professional format to linear format, which displays your source input (or input similar to what you entered).
To switch to linear format, place your cursor within the desired equation and press CTRL + SHIFT + EQUALS. You can alternatively navigate to the Convert dropdown of the Conversions group and select Current - Linear, as shown below. Edit the equation as needed.

To switch back to professional format, place your cursor within the desired equation and press CTRL + EQUALS. You can alternatively navigate to the Convert dropdown of the Conversions group and select Current - Professional, as shown above.
A sample equation, typed in Unicode, is shown in both professional and linear formats below.

This method of converting between professional and linear formats can also be used in LaTeX mode which is discussed later in this tutorial. (Note: If you create an equation in Unicode mode and then convert that equation within LaTeX mode, or vice versa, you may encounter unexpected results.)
8. Discovering additional Math AutoCorrect codes
The above list of Math AutoCorrect codes is not exhaustive. Below are three methods you can use to discover additional Math AutoCorrect codes for Word's equation tool:
1)Look for Math AutoCorrect codes listed within the equation toolbar
If you can navigate Word's equation toolbar, go to the Symbols group and
hover over any symbol. A box then appears with the name of the symbol — and if a Math AutoCorrect code can be used to replicate that symbol, it is listed in
parentheses after the symbol name. For example, if you navigate to the Basic
Math category of symbols and hover over the cube root symbol, a box
appears which says, “Cube root (\cbrt).” This means that if you want the cube
root symbol to appear in Word's equation tool with a Math AutoCorrect code,
you should type \cbrt; this code must be followed by the spacebar.

Remember that on the right side of the Symbols menu, the Symbols dropdown gives you access to entire additional categories of symbols (Basic Math, Greek Letters, Letter-Like Symbols, Operators, Arrows, Negated Relations, Scripts, and Geometry). You can explore each of those symbol categories and hover over desired symbols to find out the Math AutoCorrect codes that are already programmed into Microsoft Word. To review how to access the other symbol categories, see the section on exploring the equation toolbar.
2)Check out the DAISY Consortium's list of Math AutoCorrect codes, organized by subject
A list of commonly used Math AutoCorrect codes, organized by subject and in tabular format, has been written by a working group of the DAISY Consortium (of which the author of this tutorial is a part). The link is below.
DAISY Consortium List of Commonly Used Math AutoCorrect Codes.
3)Find the list of Math AutoCorrect codes within Microsoft Word
Below are two methods of accessing Microsoft Word's list of Math AutoCorrect codes.
Option 1:
Expand the Conversions group of the Equation toolbar. (If the Equation toolbar is not visible, type ALT + EQUALS so that it will appear.) Select the Math AutoCorrect button in the resulting Equations Options popup, and a table of hundreds of Math AutoCorrect codes will appear.
Option 2:
Under the File menu, select Options (you may need to select More... then Options), then Proofing. Select the AutoCorrect Options button and then select the tab for Math AutoCorrect. A table of hundreds of Math AutoCorrect codes will appear.
4)Look up and try LaTeX commands (while still in Unicode conversion mode)
Many of the Math AutoCorrect codes are identical to commands used in a mathematical typesetting system known as LaTeX. If there is a symbol that you want to create which is not included in this document, do an online search to find the LaTeX command for that symbol, and then try that LaTeX command in Word's equation tool both with and without a backslash symbol at the start of the command. (This does not work for every command but works for many of them.) As you have seen earlier in this document, it is often necessary to press spacebar after a Math AutoCorrect code for the symbol/function to show up properly and to read properly with the JAWS screen reader — so be sure to try pressing spacebar after you enter LaTeX commands.
9. Adding Math AutoCorrect codes
You can add Math AutoCorrect codes to Microsoft Word's list of codes. Consider the following two symbols which were included in our alphabetical list of Math AutoCorrect codes:
•We have found that the triangle symbol, $\triangle$, does not have an existing Math AutoCorrect code but can be created by typing 25b3 followed by ALT + x. It would be nice to have the option to type \triangle instead.
•We have found that the intersection symbol, $\cap$, is created with the Math AutoCorrect code \cap. It would be nice to have the option to type \intersect instead. (Note that \int is already in use for the integral symbol and therefore should not be used for the intersection symbol.)
The steps for adding the proposed codes for the triangle and intersection symbols are below:
1) Find the list of Math AutoCorrect codes within Microsoft Word
Below are two methods of accessing Microsoft Word's list of Math AutoCorrect codes:
Option 1:
Expand the Conversions group of the Equation toolbar. (If the Equation
toolbar is not visible, type ALT + EQUALS so that it will appear.) Select the Math
AutoCorrect button In the resulting Equations Options popup, and a table of hundreds of Math AutoCorrect codes will appear.
Option 2:
Under the File menu, select Options (you may need to select More...
then Options), then Proofing. Select the AutoCorrect Options
button and then select the tab for Math AutoCorrect. A table of hundreds
of Math AutoCorrect codes will appear.
2) Add the desired Math AutoCorrect code for the triangle symbol
In the resulting popup window, type \triangle in the box that says “Replace.” Type 25b3 ALT + x in the box that says “With” (the triangle symbol should appear). Then select Add, select OK, and select OK again after exiting the popup.

You should now be able to type \triangle to create the triangle symbol, $\triangle$. (Or you could alternatively still type 25b3 ALT + x.)
3) Find the Unicode representation for the intersection symbol and add a new Math AutoCorrect code
Visit a website such as Unicode Explorer or Unicode Plus and use the search bar at the top of the page to search for the word “intersection” (without quotes). The intersection symbol, $\cap$, is shown to be represented by U+2229. Open the list of Math AutoCorrect codes as described above (when adding the triangle symbol). Type \intersect in the box that says “Replace” and type 2229 ALT + x in the box that says “With” (the intersection symbol should appear). Then select Add, select OK, and select OK again after exiting the popup.
You should now be able to type \intersect to create the intersection symbol, $\cap$. (Or you could alternatively still type \cap.)
10. Typing equations with LaTeX in Word
If you know how to use LaTeX to type math content, navigate to the Conversions group of Microsoft Word's equation toolbar and select LaTeX, as shown in red in the screenshot below.

You can then experiment with typing content as you would in LaTeX to see if those commands work within Word's equation tool. Do not type starting and ending LaTeX tags.
To make your linear input display nicely in professional mode, click within the LaTeX math content that you wish to convert and do one of the following: 1) press CTRL + EQUALS, 2) press Enter, which also causes a line break, or 3) select the Convert dropdown and then select Current - Professional as shown in the screenshot below.

To return an equation to linear mode from professional mode in order to edit the math content with LaTeX: While in LaTeX conversion mode, click within the math content that you wish to edit and then 1) Press CTRL + SHIFT + EQUALS, or 2) select the Convert dropdown and then select Current - Linear as shown in the screenshot above. The equation box should then display LaTeX code. Edit as needed.
When finished editing, press CTRL + EQUALS or choose Current - Professional for the math to display in professional format again.
A sample equation, typed in LaTeX, is shown in both professional and linear formats below.

Some LaTeX commands work within Word's equation tool and others do not. You can create the fraction $\frac{3}{5}$, for example, by typing \frac{3}{5} but cannot precede the fraction with the \displaystyle command to make it larger.
For more information about typing LaTeX within Microsoft Word, visit Microsoft's article, Linear format equations using UnicodeMath and LaTeX in Word, and navigate to the section entitled “LaTeX equation editing examples.”
Note: If you want to return to using the alphabetical list of Math AutoCorrect codes shown earlier in this document, you must also return to the Conversions group of the toolbar and select Unicode instead of LaTeX.
11. Text mode
Using the Text option in the Conversions group
There are times when you may want to combine math content and text within a math expression. If you press ALT + EQUALS and type CD=7 cm while the Unicode conversion mode is selected, it yields the output shown below.
![]()
Notice that the abbreviation for centimeters is italicized. If you want cm to instead appear as non-italicized text but remain in the equation box, first type CD=7 while strictly in Unicode mode, followed by spacebar (to create a space between the 7 and the cm). Then select the Text option in the Conversions group, as shown below; notice that Unicode and Text are both selected.

Then type cm within the equation box. The resulting math output is as follows, where the abbreviation for centimeters is not italicized but still appears within the equation box.
![]()
Shortcut for accessing Text mode
Instead of selecting the Text option in the Conversions group, you can remain strictly in Unicode mode and place the desired non-mathematical text within double quotation marks. For the example above, start a new equation, (Text mode should no longer be selected) and type the following:
CD=7 “cm” followed by spacebar
This yields the desired output, where the centimeters abbreviation is not italicized.
![]()
As another example, suppose that $\angle B$ is an acute angle of a right triangle and that we want to type the following, where all words within the equation box are non-italicized except for $\angle B$:

To create the equation as shown above, press ALT + EQUALS, type “The sine of” followed by TWO spaces (one to change the expression to regular text, and another to create space between words/expressions), then type \angle B followed by the equals sign. Then type a forward slash followed by spacebar to create an empty fraction (or select a fraction style from the Structures group of the equation toolbar). Navigate to the numerator and type “the length of the side opposite” followed by TWO spaces. Then type \angle B. Navigate downward to the denominator and type “the length of the hypotenuse” followed by spacebar.
12. Equation display size and other options
Changing the equation display size
Some expressions will show up larger if placed on a line that contains only math content. For example, the integral symbol and the fraction in the equation $\int {x^2}dx=\frac{x^3}{3}+C$ appear larger if the equation is placed on its own line:
$\displaystyle\int{x^2}dx=\displaystyle\frac{x^3}{3}+C$
An entire equation can also be made larger by selecting the equation and changing the font size, under the Font group of Microsoft Word's Home menu.

For example, the equation $x+\frac{3}{5}=7^2$ is written in 14-point font, where $x+\frac{3}{5}=7^2$ is shown in 18-point font.
No option seems to exist in Microsoft Word to change the size of one portion of an equation but not another (such as changing only the size of a fraction or an exponent); if you find such an option, please send a note via the feedback section.
Changing other equation options
You can adjust other equation options in Microsoft Word as follows: Press ALT + EQUALS and expand the Conversions group, as shown. A popup appears entitled Equation Options. Read through the options and adjust as desired.

The default font for equations is Cambria Math and no option seems to exist to change the font of the math content within an equation. However, if you type any equation content in Text Mode, you can adjust that specific text-based equation content from the Font group of Microsoft Word's Home menu. For example, in the equation $CD=7~\text{cm}$, the font style can be changed for the centimeters label only, as shown below. (If you find a way to adjust the font of math content not typed in Text mode, please send a note via the feedback section.)

13. Setting a Word document to open in read-only mode
If you will be sharing your Word document with someone else and your intention is for them to only read it (not edit it) or if you want to read your own document without accidentally making changes as you scroll through, you can set the document to open in read-only mode as follows: Go the File menu and choose Info. Select the dropdown entitled Protect Document. Then select the option Always Open Read-Only as shown in the screenshot below. This selection ensures that the document opens in read-only mode, but be aware that people can still opt-in to edit the document and/or could edit the file after saving it with a different filename. You can investigate additional protection options that are available below the read-only option, but they will not be discussed further here.

If you want to edit your document after it has been set to open in read-only mode, you don't need to undo your protection settings; you can instead choose Editing mode using the mode selection button near the upper right of Word's ribbon. This dropdown is found between the Comments and the Share buttons and is shown in the screenshot below. You can use this dropdown to switch between Editing, Reviewing, and Viewing modes while the document is open. After closing and reopening the document, it will still open in read-only mode.

If you no longer want the document to open in read-only mode, you can once again click File, then Info, then Protect Document, and deselect the option to Always Open Read-Only.
14. Math accessibility tips
The following math accessibility tips are intended for students who are using the JAWS screen reader, or for instructors who are preparing accessible documents and helping their visually impaired students to navigate documents with JAWS. (To learn how to use JAWS, visit the University of Houston's JAWS screen reader tutorial.)
Continuous versus line-by-line navigation with math content
When a Word document contains math content, JAWS occasionally skips over some of the math content when reading continuously in “Say All” mode; the reading of math content is more reliable when you navigate line-by-line in JAWS with the down arrow instead.
Using the Math Viewer to investigate math content
To investigate math content in more detail, press Insert + SPACEBAR followed by EQUALS when focused on that math content. This opens a tool called the Math Viewer, where the math content appears in a separate popup window and you can navigate through it using the arrow keys. The Math Viewer can be useful when an equation is complicated, or in instances where JAWS reads two math expressions the same way, like $\sqrt{x+1}$ (where the x+1 is completely under the square root) or $\sqrt{x}+1$, where only the x is inside the square root, but the +1 is outside the square root.
To learn more about using the Math Viewer, visit Freedom Scientific's webpage on Accessing Math Content with JAWS and Fusion, and look for the section entitled “Studying Equations in the Math Viewer.”
Note: If you get a script error while trying to use the Math Viewer, visit Freedom Scientific's technical bulletin to fix script errors in the Math Viewer.
Avoid ambiguous mathematical expressions
Some mathematical expressions require parentheses, additional symbols, and/or reordering of terms so that they are clearly understood when read by a screen reader. As teachers prepare accessible math content for their students, they should think about how the content would be spoken and if any other expressions exist that sound the same.
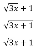
Within its native reading mode (when MathCAT is not enabled), the JAWS screen reader reads all three of the following expressions as “the square root of 3 x plus 1” although they are not mathematically equivalent.

Although students would be able to distinguish one expression from another if they know how to use the Math Viewer (which can still be tricky to navigate), instructors should not assume that a student would think to do so; the student will likely hear “the square root of 3 x plus 1” and simply interpret it as one of the above three expressions without thinking about other expressions that sound exactly the same.
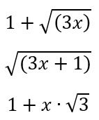
The above expressions would be read by JAWS with clarity if rewritten as follows:

Here is another example: The expressions $\displaystyle\frac{2}{x+5y}$ and $\displaystyle\frac{2}{x+5}y$ are both read by JAWS (in its native reading mode, without MathCAT enabled) as “fraction, 2 over x plus 5 y,” and the expression $\displaystyle\frac{2}{x}+5y$ is read by JAWS as “2 over x plus 5 y.” These three expressions can be distinguished from each other if they are instead written as $\displaystyle\frac{2}{(x+5y)}$, $\displaystyle\frac{2y}{(x+5)}$, and $\left(\displaystyle\frac{2}{x}\right)+5y$, respectively.
Contact / Feedback
If you have any questions or feedback about typing math in Microsoft Word or about creating accessible mathematics, contact:
Jennifer Marsala, Instructional Designer
University of Houston Department of Mathematics
Email: jmarsala@central.uh.edu